
石英是由矽原子和氧原子组合而成的二氧化矽(Silicon Dioxide, SiO2), 以32点群的六方晶系形成的单结晶结构〔图一〕.单结晶的石英晶体结构具有压电效应特性, 当施加压力在晶体某些方向时, 垂直施力的方向就会产生电气电位. 相对的当以一个电场施加在石英晶体某些轴向时, 在另一些方向就会产生变形或振动现象. 掌握单结晶石英材料的这种压电效应, 利用其发生共振频率的特性, 发挥其精确程度作为各类型频率信号的参考基准, 就是水晶震荡器的设计与应用. 因为石英晶体具有很高的材料Q值,所以绝大部份的频率控制元件,如共振子及振荡器,都以石英材料为基础. 以石英为基础的频率控制元件可以依其压电振动的属性, 可以分为体波(bulk wave)振动元件及表面声波(surface acoustic wave)振动元件. 体波振动元件如石英晶体共振子, 石英晶体滤波器及石英晶体振荡器, 表面波振动元件如表面波滤波器及表面波共振子. 当石英晶体以特定的切割方式, 以机械加工方式予以表面研磨, 完成特定的外型尺寸就是通称的石英晶片(quartz wafer 或 quartz blank ). 将这个石英晶片放置在真空还境中, 于表面镀上电极後,再以导电材料固定在金属或是陶瓷基座上, 并加以封装, 就成为一般所谓的石英晶体共振子( quartz crystal resonator ). 利用石英共振子在共振时的低阻抗特性及波的重叠特性, 用邻近的双电极, 可以做出石英晶体滤波器. 将石英振荡子加上不同的电子振荡线路, 可以做成不同特性的石英振荡器. 例如: 石英时脉振荡器(CXO), 电压控制石英晶体振荡器(Voltage Controlled Crystal Oscillator, VCXO), 温度补偿石英晶体振荡器(Temperature Compensated Crystal Oscillator, TCXO), 恒温槽控制石英晶体振荡器(Oven Controlled Crystal Oscillator, OCXO)…等. 相对於体波谐振的是表面声波的谐振. 将石英晶体表面镀以叉状电极(inter-digital-transducer, IDT)方式所产生的表面振荡波, 可以制造出短波长(高频率)谐振的表面声波共振子(SAW Resonator)或表面声波滤波器(SAW Filter).

( Fig.1 ) Crystallized quartz material.

石英材料中的二氧化矽分子(SiO2) 在正常状态下, 其电偶极是互相平衡的电中性. 在(图二左)的二氧化矽是以二维空间的简化图形. 当我们在矽原子上方及氧原子下方分别给予正电场及负电场时, 空间系统为了维持电位平衡, 两个氧原子会相互排斥, 在氧原子下方形成一个感应正电场区域, 同时在矽原子上方产生感应负电场区域. 相反的情况, 当我们在矽原子上方及氧原子下方分别给予负电场及正电场时, 两个氧原子会相互靠近, 氧原子下方产生感应负电场,矽原子上方产生感应正电场. (图二). 然而, 氧原子的水平位置变化时, 邻近的另一个氧原子会相对的产生排斥或吸引的力量, 迫使氧原子回到原来的空间位置. 因此, 电场的力量与原子之间的力量会相互牵动, 电场的改变与水平方向的形变是形成交互作用状态. 这个交互作用会形成一个在石英材料耗能最小的振动状态, 祇要由电场持续给与能量, 石英材料就会与电场之间维持一个共振的频率.
这个压电效应下氧原子的振幅与电场强度及电场对二氧化矽的向量角度有相对应的关系.在实际的应用上, 电场是由镀在石英晶片上的金属电极产生, 电场与二氧化矽的向量角度则是由石英晶棒的切割角度来决定.

( Fig.2 ) Simplified one deminsional piezoelectricity of SiO2.
依据不同的应用领域及工作温度需求, 因应了许多不同的石英切割角度种类. 例如AT-, BT-, CT-, DT-, NT, GT…..等不同的切割板片. 不同的切割方向的板片具有不同的弹性常数张量(elastic constant tensor), 不同的压电常数张量(piezoelectric constant tensor)及不同的介电常数张量(dielectric constant tensor). 这些张量在石英元件的设计及应用上展现了不同的振荡及温度特性. (图三)表现了在Z-plat石英结构上,几种不同方向的石英板片切割方式.

( Fig.3 ) Orientation angle of a Z-plate quartz crystal.
经由不同的石英切割角度及不同电极型状的电场效应, 石英晶片展现了各种不同的振动模态. 以经常产生的振动模态可以概分为扰曲模态(flexure mode), 伸缩模态(extension mode), 面剪切模态(face shear mode) 和 厚度剪切模态(thickness shear mode). 这几种振动模态以简单的方法在表一中可以看到. 在实际状况中, 石英晶片并不是一定祇有单一种振动模态, 而可能有多种模态同时存在在一个石英晶片的振荡中, 经由适当的设计, 可以压制其他不希望产生的振动模态(unwanted mode), 来达到主要振动模态的最佳化.

( Table.1 ) Vibration Mode and Cut Angle.
大部份的石英晶体产品是用於电子线路上的参考频率基准或频率控制元件, 所以,频率与工作环境温度的特性是一个很重要的参数. 事实上, 良好的频率与温度(frequeny versus temperature)特性也是选用石英做为频率元件的主要因素之一. 经由适当的定义及设计, 石英晶体元件可以很容易的就满足到以百万分之一 (parts per million, ppm) 单位等级的频率误差范围. 若以离散电路方式将LCR零件组成高频振荡线路, 虽然也可以在小量生产规模达到所需要的参考频率信号误差在ppm或sub-ppm等级要求, 可是这种方式无法满足产业要达到的量产规模. 石英元件的频率对温度特性更是离散振荡线路无法简易达成的. 在(图四) 中提供了数种不同的石英晶体切割角度的频率对温度特性曲线.

( Fig.4 ) Frequency-temperature characteristics of various quartz cuts.
在各种不同种类的切割角度方式中, AT角度切割的石英晶片适用在数MHz到数佰MHz的频率范围,是石英晶片应用范围最广范及使用数量最多的一种切割应用方式. 在(图五)中, 从石英晶棒X-轴向的上视图, 可以看到对Z-轴向旋转约35度的AT 方向. 这在大量生产的技术上也是很好达成的一种作业方式.

( Fig.5 ) Orientation of AT plat
(图六)是以AT切割角度变动在厚度振动模态的频率对温度特性的展开图. 图中以常用的室温摄式25度作为相对零点, AT切割的最大优点是频率对温度变化为一元三次方曲线. 这个特性, 从(图六)中可以看到, 在相当宽广的温度范围下, AT切割的温度曲线的第一阶及第二阶常数为零, 第三阶的常数便决定了频率对温度的变化值.

( Fig. 6 ) AT - cut frequency-temperature characteristics.
(图七)(a)及(b)分别是DIP型式及SMD型式的石英振荡子的基本结构图. (图七)(c)是电子电路上所使用代表石英振荡子的电子符号. 当石英晶体共振子处在远离振荡频率区域时, 石英晶体共振子仅是一个电容性的元件, 当频率接近石英晶体的振荡频率时, 就接近是一个电感性的等效LCR振荡线路.

( Fig. 7 ) (a) Metal can type resonator
(b) Ceramic SMD type resonator
(c) Symbol of crystal usnit
(图八) 就是将石英晶体共振子转换成振荡频率附近的Butterworth-Van Dyke (BVD)等效电路. 在这个图中, 有四个主要参数 : 静态电容-Co, 动态电容-C1, 动态电感-L1及动态电阻-R1.

( Fig.8 ) Effective Circuit of Crystal

在技术文献及产品应用上, 石英晶体共振子的共振有三组不同定义及特性的共振频率.
串联谐振频率及并联谐振频率 ( fs , fp )
(series resonance frequency and parallel resonance frequency)
谐振频率及反谐振频率 ( fr , fa )
(resonance frequency and anti-resonance frequency)
最大电导频率及最小电导频率 ( fm , fn )
(maximum admittance frequency minimum admittance frequency).
这三组频率的导纳(admittance)图, 可以从(图九)复数座标清楚的看到

( Fig.9 ) Complex Admittance of Resonators
串联偕振频率及并联偕振频率, fs and fp ,是分别由电导(real part of the admittance)最大和阻抗(real part of the electric input impedance)最大时的频率.
谐振频率及反谐振频率, fr and fa , 分别是当电导等於零(纯电阻特性)的二个频率. 在这个时候, fr 的阻抗为 1 / Rr 而fa 的阻抗为 1/ Ra.
在评估共振时的等效线路时, 串联谐振频率及并联谐振频率, fs and fp , 是最重要的二个频率参数. 对於串联谐振频率及并联谐振频率( fs and fp )二者的关系, 我们可以用下列公式来表达:

公式中的C1及 L1 分别是(图七)中的动态电容(motional capacitance)及动态电感(motional conductance); Co 是静态电容(shunt capacitance).

(1) 公称频率及容许误差( Nominal Frequency and Tolerance )
在正确的振荡线路匹配下, 从振荡线路输出的频率, 称之为“公称频率( nominal frequency )”. 频率单位一般是以兆赫( megahertz, MHz) 或 仟赫(Kilohertz, KHz)表示.
实际的批量生产及振荡线路应用上, 产品在室温环境(25oC)中都会有一些相对於中心频率的频率散布误差. 这类型的频率容许误差的最大散布值,一般是以ppm ( parts per million )或% ( percent ) 来表示.
(2) 基本波振荡及倍频振荡模态( Fundamental and Overtone Vibrations Mode)
在AT切割角度的石英晶体共振子主要是以厚度剪切振荡模态存在. 石英晶体在共振时, 除了基本波振荡之外, 高阶的倍频共振也与基本波振荡同时存在於石英晶体的电极区域之间. 但是, 由於压电材料的电极是电气相位相反的振动环境, 所以, 祇有奇数倍(odd number)的高频倍频可以发生, 偶数倍(even number)的倍频共振在石英晶体共振子是不会存在的(图十).

( Fig.10 ) Only odd number harmonic vibrations can be excited in crystal resonator.
(3) 负载电容 ( Load Capacitance, CL )
振荡线路上的”负载电容(load capacitance)”定义为:从石英晶体共振子的两个端子看向振荡线路所遭遇到的所有电容值. 负载电容在线路上可以与石英晶体共振子以并联(parallel)或以串联(series)的方示连接. 以并联方式连接的振荡线路中, 负载电容(CL)的大小会影响公称频率的特性.
这种负载电容并联线路的共振频率以 fL 表示 :
![]()
(4) 频率对温度稳定性( Frequency-Temperature Stability )
石英频率因温度变化而改变, 这是因起於石英材料在各个座标轴向的热膨胀系数不同, 当温度变化时, 各轴向晶格距产生些许变化. 当引用不同的切割角度时, 不同振荡模态的之变化也会不同.
以AT切割角度的厚度剪切振荡模态的设计, 一般是采用摄氏25度作为参考温度点的频率来定义在工作环境温度范围内的频率变动的稳定性. 在定义这项频率对温度稳定性参数的同时, 也应该一同规范出相对应的工作环境温度范围(Operation Temperature Range)
石英频率元件频率对温度稳定性的特性, 亦如同公称频率误差一样, 是以ppm或是以% 为计量单位. 元件的频率温度特性曲线与石英的切割角度, 振荡模态, 表面处理及外型尺寸都有很大的关系. 除此之外, 振荡线路上的负载电容(CL), 驱动功率(drive level)的特性, 也会影响到振荡线路输出频率对温度变化的稳定性.
(5) 等效串联阻抗 ( Equivalent Series Resistance , ESR)
当石英晶体串联振荡在fs时, C1及L1是相反相位而互相抵消, 整个共振子的动态支臂(motional arm) 的导纳(admittance)是接近最小阻抗值R1. 这时候整个石英晶体共振子的表现仅是一个电阻性的元件. 电阻值R1是整个元件的机械性能量损耗. 其中包含了石英材料, 接着材料及封装材料上所有的能量损耗.
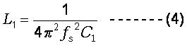
(6) 动态电容( Motional Capacitance C1 ) 及动态电感( Motional Inductance L1 )
在公式一中, ,动态电容C1及动态电感L1与串联偕振频率, fs ,是相互关联的.
在实际的量测系统中, 我们祇能量测到动态电容C1及串联协振频率fs . 动态电感L1是由公式(4)计算得到.

(7) 静态电容( Static Capacitance or Shunt Capacitance, Co )
静态电容,Co, 主要来自由以石英晶片为介电材料与两个电极所形成的电容为主; 另外一小部份的静态电容来自连接石英晶片与接线的导电接着材料之间的电容和封装外壳的电容.
静态电容是在远低於振荡频率的范围量测出来的, 以避免在受到振荡频率附近的动态电容影响. 公式(5) 是静态电容的数学表示式.
![]()
在公式(5)中, A 代表电极的面积; d 代表石英晶片的厚度; ε 是石英晶片的相对应介电值; Cm+p 是其他由材料产生的电容值
(8) 驱动功率( Drive Level )
石英晶体的驱动功率是指石英晶体共振子的消耗功率. 一般是以微瓦(microwatt)表示. 振荡线路的设计上必须提供适当的功率让石英晶体共振子开始起振并维持振荡. 石英晶体的振荡是属於物理上的高频机械振动, 振荡时的电气阻抗值约在10~100欧姆以下( 依频率范围及尺寸大小有差异). 振荡线路若提供过高的驱动功率, 会使石英晶体的非线性特性变化及石英/电极/接着材料的介面恶化, 进而造成振荡频率FL及等效阻抗R1的过度变化. 石英晶体在长时期的过高驱动功率下工作, 会有不稳定的现象. 随着各类应用面的低消耗功率需求及产品小形化趋势, 加上近几年石英产品的技术大幅提升, 石英晶体共振子的电气阻抗值整体都下降而且稳定. 振荡线路的设计不需要,也不应该提供过高的驱动能量在石英晶体共振子上面. 对於绝大部份的应用面而言, 振荡线路提供 10 ~ 100 微瓦( microwatt)的最大功率(视石英共振子的尺寸及频率而定)给石英共振子已足够了.
(9) 电气品质因子( Quality Factor, Q )
对於石英晶体共振子, 电气品质因子Q是很重要的一个特性. 电气品质因子可以用下列公式(6)表示

石英晶体的共振子的品质因子可以达到数佰万以上.
(10) 牵引率( Pullability ) 及 敏感度( Trim Sensitivity )
石英晶体共振子应用在并联振荡线路上, 振荡频率与负载电容CL有很大的关系. 这在前面的公式(3)就可以看到. (图十一) 是以并联振荡线路上FL频率对负载电容CL的变化曲线示意图.
频率的“牵引率”指的是负载电容CL1的频率FL1到负载电容CL2的频率FL2的频率变化. 在(图十一)中可以是FL1(CL=24pF)与FL2(CL=10pF)的频率变化值. 在这个例子中的频率牵引率是 220 ppm. 若我们将CL1与CL2的负载电容值趋近极小化(曲线作数学上的微分), 就会得到曲线的切线值. 这个切线值就是用某一个负载电容的敏感度( trim sensitivity ).
在(图十一)中, CL=24 pF 时的频率敏感度是10 ppm/pF, 及CL=10 pF时的频率敏感度是20 ppm/pF. 在并联线路中, 负载电容越小, 频率对负载电容变化的敏感度越高. 相反的, 负载电容越大, 频率对负载电容变化的敏感度越低. 这就是石英晶体共振子用於VCXO线路上时, 线路设计上会选用较小负载电容. 反之, 在要求较准确的频率信号时, 线路设计上会选用较高的负载电容.

( Fig. 11 ) Frequency variation vs. load capacitance.
(11) 老化( AGING )
“ 老化” 顾名思意就是指在某一段特定时间范围内, 石英晶体共振子随时间的频率变化, 以百万分之一 ( parts per million, ppm ) 为表示的单位. 老化在频率与时间上的特性曲线, 一般是呈现指数(exponential)型态的变化. 频率老化变动最大的期间是在石英频率元件制成後的第一个月. 之後, 频率的变化就随时间逐渐减少. 频率的老化特性有好几个主要的因素影响. 比如说, 封装的方法, 材料的种类, 制程温度, 制程管控, 热处理过程及产品的尺寸和频率高低. 在规格上大多都要定义出短期(1~3个月) 或长期(1~10年)的频率老化需求.
(12) 储存温度范围( STORAGE TEMPERATURE RANGE )
除了在前面的工作环境温度范围之外, 另一项与温度有关的特性是”储存温度范围(Storage Temperature Range)”. 这个参数指的是产品在静态状况下可以储存的最高与最低温度范围. 在这个温度范围内, 产品必需保证在长时期的储存後, 还是可以在工作温度范围内正常的工作并符合规格. 这项特性与石英晶体共振子的元件设计及制程设计有很大关系, 要小心的定义.
(13) 负性阻抗(Negative Resistance , - R )
负性阻抗是指从石英晶体共振子的二个端子往振荡线路看过去, 所遭遇到振荡线路在振荡频率时的阻抗特性值. 振荡线路上必需提供足够的放大增益值来补偿石英晶体共振子在共振时的机械能损失. 负性阻抗并不是石英振荡子的产品参数, 却是振荡线路的一项重要特性参数. 从共振子的角度而言, 就是在振荡线路的”负性阻抗”.

当把石英共振子与振荡线路或集成电路(IC)一起整合在一个封装内, 由外部提供电源电压, 形成一个主动元件输出频率信号, 就是所谓的石英晶体振荡器. 石英晶体振荡器可以藉由单一封装元件内部不同的振荡线路及输出线路, 提供不同特性需求的参考频率(reference frequency). 例如有 石英时脉振荡器SPXO ( Simple Package Crystal Oscillator ) 或称为 CXO ( Clock Crystal Oscillator ), 可程式化石英晶体振荡器PCXO ( Programmable Crystal Oscillator ), 电压控制石英晶体振荡器VCXO ( Voltage Controlled Crystal Oscillator ), 温度补偿石英晶体振荡器TCXO ( Temperature Compensated Crystal Oscillator ) 及 恒温槽控制石英晶体振荡器OCXO ( Oven Controlled Crystal Oscillator ).
为了满足应用面需求而言, 石英晶体振荡器内部的振荡线路有以基本波或三倍频不同方式. 若要达到数佰兆赫的输出频率时, 振荡线路後级可以采用锁相回路方式或倍频方式, 将较低频率的石英振荡频率提升. 对於输出端的输出准位及输出波形也有各类不同需求,如 CMOS, LVPECL, LVDS…..等. 这些规格都要仔细的定义.
在(图十二)提供了数种石英振荡器输出频率对温度变化的稳定性示义图

以上资料来源于TXC